
Термін життя «мобіка». Статистика 28.10.2022 10:05 Укрінформ 21-го вересня 2022-го року Путін розділив життя цілого покоління цивільних росіян на “до” та “після” мобілізації
InformNapalm аналізує втрати першого місяця російської мобілізації.
У перший же день радісні російські воєнкоми почали розносити перші “листи щастя” новоспеченим російським військовим. Військові округи навипередки почали виконувати мобілізаційну норму, щоб компенсувати “мобіками” втрати регулярних частин. Війна з телевізора та патріотичних ТГ-каналів раптом увійшла в реальні життя сотень тисяч цивільних росіян. Масових протестів проти цього ми так і не дочекались. Всі протести завершились декількома відео з віддалених регіонів. Мобілізований росіянин не проти повоювати з Україною, просто раніше думав, що це за нього зробить регулярна армія.
Російська преса видала кілотонни текстів про те, як юридично правильно відтягнути мобілізацію, але згодом перейшла на тексти про те, як правильно підготувати мобілізованого до фронту – від народних порад, як зробити собі жгут з підручних матеріалів, до чек-листа з тим, що треба взяти з дому на фронт. Російське суспільство без проблем масово йде на війну проти України.

З юридичної точки зору мобілізований росіянин в рази гірше за контрактника. Кожен росіянин може підписати короткостроковий контракт на мінімум 3 місяці. Вже через квартал такий “контрактник” може піти з армії.
Мобілізований росіянин залишається в армії до кінця війни, але коли вона завершиться ніхто не знає. До більшості з мобілізованих росіян це, мабуть, не доходить, а тому вони покірно розписуються в документах про отримання повістки. Далі вони так само покірно приходять до військкомату, просто щоб “уточнити дані”, де їх і забирають на фронт.
В російській пресі вже з’явилася ціла серія статей-некрологів про долю мобілізованих росіян. Чимось це нагадує перші тижні березня, коли росіяни так само жваво писали про перші втрати на війні. Згодом ця тема набридла і перетворилась на буденну реальність. Але історії “мобіків” поки що можна зустріти в російській пресі, бо це нове явище. Хайпанути на темі хочуть навіть російські журналісти.
Перші втрати росіяни понесли від інфарктів на мобілізаційних пунктах, хтось проявив алкогольну звитягу в місцях підготовки та загинув через дідівщину, так і не доїхавши до армії. Окремим випадком стоїть розстріл мобілізованих на полігоні під Бєлгородом етнічними таджиками – точні втрати у цій історії не зрозумілі. Ще у пресі виринуло декілька відео родичів про пошуки зниклих безвісти мобілізованих, що вже давно не виходять на зв’язок після мобілізації.

22-го вересня російські військкомати почали розносити перші повістки. Когось почали забирати у військо вже в перший день та розвозити по тренувальних полігонах по всій Росії. Для багатьох шлях до фронту зайняв всього декілька днів, а вже в Україні російські мобілізовані почали вмирати.
За перший місяць мобілізації стали відомі прізвища щонайменше 29 знищених на фронті мобілізованих росіян – інформація про них так чи інакше виринула в пресі, чи в соціальних мережах.
Статистику втрат росіян на фронті веде український OSINT-експерт “Necro Mancer” (твіттер-аккаунт: @666_mancer). Проаналізувавши тексти некрологів ми доповнили доробки “Necro Mancer”-а датою мобілізації та датою потрапляння в Україну. Отже, як виглядає типовий знищений мобілізований росіянин?
Mobik vulgaris
Середній вік знищеного “мобіка” всього 33 роки. Більшість з них рядові чи єфрейтори. Поки що зафіксовано тільки одного знищеного офіцера у чині майора. Багатьом з них не потрібен початковий військовий вишкіл, бо вони нещодавно повернулись з армії або працювали у силових структурах.

Хтось був десантником, військовим розвідником, спецпризначенцем чи служив у морській піхоті. Дехто встиг повоювати у Чечні, послужити контрактником у КТО на Кавказі чи мав стосунки до МВС або пенітенціарної системи. Тобто, знищені російські “мобіки” – це доволі мілітарні люди.
Наприклад “мобік” з прізвищем Хоміченко з Бурятії поїхав воювати проти України вдруге за цей рік. До червня він вже воював у складі російської регулярної армії, а у вересні загримів вдруге вже як мобілізований.
До речі, про Бурятію. Воєнкоми деяких російських регіонів жвавіше за інших відправили своїх підопічних до України. Лідери по знищенню стали Красноярський край та Свердловська область (по 7 штук), від яких дещо відстала Челябінська область (5 штук). Окремо порадіємо за столичні регіони – Москва (3) та Пітер (2). В агломераціях цих двох міст живе кожен п’ятий росіянин – мобілізація не змогла оминути навіть столичну тусовку.
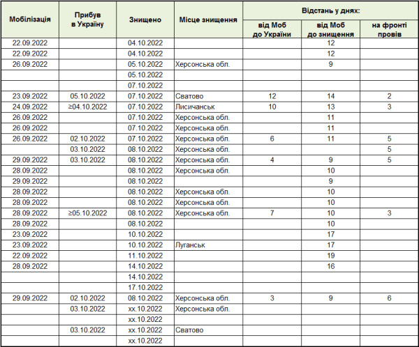
Всі загиблі мобілізовані були призвані ще в перший тиждень мобілізації у вересні, а от перші загиблі з них виринули тільки четвертого жовтня. В середньому “мобік” потрапляє до України за 7 днів. Бувають і експрес-винятки, коли мобік опинився в Україні на третій день після мобілізації.
З некрологів прослідковується два основних маршрути потрапляння в Україну – тренувальний табір у Джанкої в Криму з подальшою передислокацією на Херсонщину або з Бєлгородщини чи Ростова, звідки вони опиняються на Луганщині. Цікаво, що частина потім з Луганщини їде знову ж таки на Херсонщину.
По 16-х мобіках вдалось встановити місце смерті. На Херсонщині гине більшість мобіків – 12 з 16. Ще 4 штуки були знищені на Луганщині. Інформації по знищених мобіках на Донбасі поки ще нема.
Нам частково вдалось встановити дані про дату мобілізації та прибуття до України. З цих даних можна зробити наступні висновки – через тиждень після мобілізації росіянин потрапляє до України. Через 12 днів після мобілізації мобік гине в Україні. На фронті в Україні мобік встигає проводити, приблизно, 4 дні.

ЗСУ не пробачає бажання росіян повоювати з Україною. “Сумна” статистика перших знищених мобіків приблизно показує, як воюватиме російський мобілізований проти вмотивованої української армії. В середньому – 4 доби життя, а далі – смерть, поранення або полон.
Оригінал статті — InformNapalm
Мобілізація ЗСУ Повістка Війна з росією
Источник: www.ukrinform.ua
